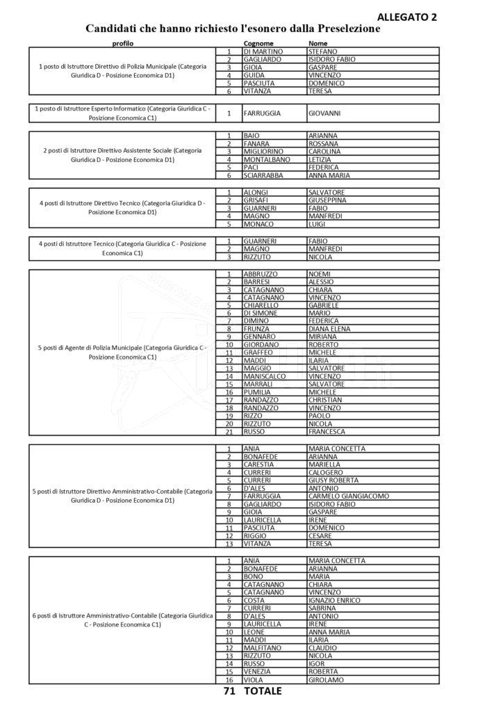
Concorso Comune di Sciacca, ecco chi ha superato le prove selettive (Tutti gli ammessi)Risoluto Redazione1 Dicembre, 2021Cronaca / Attualità Ecco i risultati delle prove preselettive svolte per i 28 posti a bando al Comune di Sciacca.