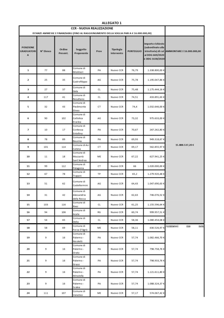
E’ stata pubblicata la graduatoria dei progetti ammessi e finanziabili per la realizzazione o il potenziamento dei centri comunali di raccolta rifiuti.
Tra i progetti di potenziamento e adeguamento anche il centro di raccolta comunale di Sciacca. Un finanziamento da 434 mila euro.
L’intervento da 21,4 milioni di euro della Regione Sicilia, inserito all’interno della misura 6.1.2 del Po Fesr 2014-2020, e’ stata voluta fortemente dal governo Musumeci per potenziare la raccolta differenziata e aiutare gli enti locali nella gestione del servizio.
Sono 31 i progetti che beneficeranno del finanziamento regionale: nello specifico 17 istanze riceveranno 16 milioni per la costruzione di nuovi impianti, mentre altri 14 progetti accederanno a circa 5 milioni e 400 mila euro per il potenziamento, l’ampliamento e l’adeguamento di strutture esistenti, tra questi anche Sciacca. Il dipartimento regionale Acqua e rifiuti ha pubblicato l’elenco dei progetti, a firma del direttore generale Calogero Foti, con i relativi punteggi attribuiti sulla base dei criteri previsti dal bando. I Comuni avranno 30 giorni di tempo dalla pubblicazione in Gazzetta per presentare eventuali osservazioni. Ogni struttura dovrà essere costruita nel rispetto di tutte le norme relative alla tutela ambientale e della salute, con pavimento impermeabile e recinzioni, per evitare perdite e cattivi odori.
L’assessore regionale Alberto Pierobon spiega che “questa misura rappresenta un altro tassello importante a livello regionale per migliorare la gestione dei rifiuti nei territori e garantire un servizio più efficiente per i cittadini. I centri comunali consentiranno infatti alle amministrazioni locali di incentivare la raccolta differenziata attraverso forme di premialità immediatamente spendibili.








